Modern observational astrophysics has become fundamentally data-driven, requiring sophisticated computational approaches to transform massive survey datasets into astrophysical insights. My research exploits large-scale astronomical surveys and multiple spectroscopic surveys to understand how planetary systems form and evolve within their Galactic context.

Research threads

  • Planet occurrence in the Galactic context — how metallicity, α-abundance, kinematics, and disc/halo membership modulate planetary rates.
  • System architectures — metrics to compare whole planetary system architectures and catalogues (`Weighted Energy Distance’).
  • Binary & multiple stars — demographics across Galactic populations; hierarchical triples; tidal circularization physics.
  • Dormant compact objects — wide Black-hole (BH) binaries (Gaia BH1,2,3) and their formation channels.

An updated list of all my papers can be found on ADS.

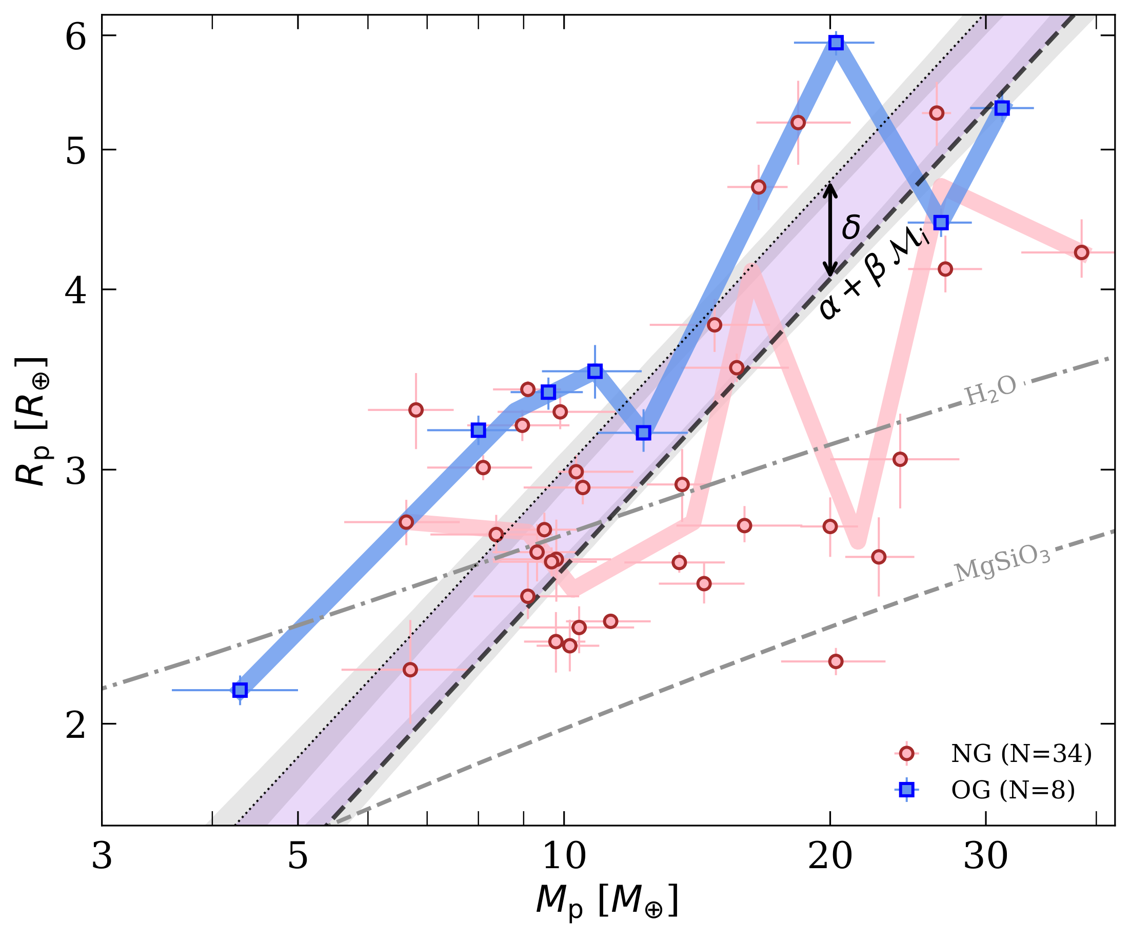
Mass–radius relation with outer-giant vs no-giant systems
Mass–radius relation for inner Neptunes (P < 50 d): systems with outer giants (OG) show systematically larger radii at fixed mass than those without detected giants (NG) [v]
Metallicity–frequency relation for field and clusters
Close binary fraction as a function of metallicity, comparing field dwarfs/giants and Globular Clusters (GCs), highlighting low binary fractions in GCs [v]
Circularization vs effective temperature
Circularisation/cutoff behaviour vs effective temperature (Teff), indicating a strong Teff dependence consistent with pre-MS circularisation [v]
Compact hierarchical triple system
Histogram of cosi (inclination) for astrometric binaries (black) and Compact hierarchical triple (CHT) candidates (blue). CHT systems show strong evidence of mutual orbit alignment [v]
Halo close binary fractions
E − Lz diagram of MS stars, with contour background, grey points mark the main location of disc stars, and blue points mark halo stars. Points inside the dashed green box mark a selected sample of in situ sources, while points inside the dashed orange box mark the sample of accreted stars [v]
PEP
Planetary Eccentricity-period (PEP) diagram for the small and giant planets. While the giant-planet eccentric orbits display a clear upper envelope, the low-mass planetary orbits display a flat eccentricity distribution, with almost no dependence on the orbital period [v]
HARPS Galactic planet occurrence map
Close-in small-planet occurrence across Galactic populations derived from HARPS data [v]
Weighted Energy Distance comparison of system architectures
Weighted Energy Distance (WED) comparison of full planetary system architectures [v]
Occurrence in the thin and thick disc
Posterior distributions of estimated planet occurrence rates. left: average number of planets per star, right: the fraction of stars with planets in the Galactic context of the thin and thick discs [v]